We choose one example hypergraph, use the proposed algorithm to transform it into time-line and based on the time value result we created one mpg file by ulead videostudio and one .wmv file by Flash MX. Both of them clearly demostrated the oringinal temporal relations specified in hypergraph.
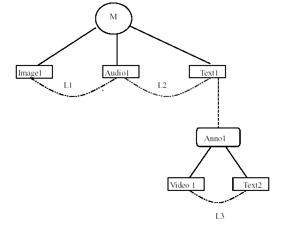
Now we illustrate the proposed algorithm by giving one example.
Synchronization links:
L1: [image1]==[audio1]
L2: [audio1]==[text1]
L3: video1]<3:[text2
assume interval of each terminal node is 5
(if not specified);
Intitial value:
begin(M1)=0; end(M1)=5;
begin(image1)=0; end(image1)=5;
begin(audio1)=0; end(audio1)=5;
begin(text1)=0; end(text1)=5;
begin(anno1)=5; end(anno1)=5+5=10;
begin(text2)=5; end(text2)=10;
begin(video1)=5; end(video1)=10;
1) Process L1;
No change is needed;
2) Process L2:
Same as L1, no change;
3) Process L3:
begin(text2)<-end(video1)+3;
begin(text2)=13;
end(text2)=18;
propage through attachment from text2 to Anno1;
end(Anno1)=18;
This is propagated to text1 by attachment link;
end(text1)=18;
so on so forth;
end(audio1)=18;
end(image1)=18;
end(M1)=18;
Finally:
begin(M1)=0; end(M1)=18;
begin(image1)=0; end(image1)=18;
begin(audio1)=0; end(audio1)=18;
begin(text1)=0; end(text1)=18;
begin(anno1)=5; end(anno1)=18;
begin(text2)=13; end(text2)=18;
begin(video1)=5; end(video1)=10;
Time line :
