Inconsistent Temporal relations 

           in Hypergraph

 

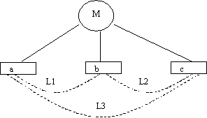
In the analysis of the proposed algorithm, we have discussed the stop problem of this algorithm. We mentioned that it is related with inconsistent temporal relations in hypergraph. So first ,let us take a look at what is inconsistent temporal relation in hypergraph. First,we give one example:

 

                             

 

L1: a]<2 [b;

L2: b]<2 [c;

L3: c]<2 [a;

 

So in this simple example,b is asked to start 2 seconds after a ends, c is asked to start 2 seconds after b ends, and a is asked to start 2 seconds after c ends. Let us focus on any pair of a,b,c, e.g (a,b). L1 specifies a]<2 [b. however from L2 and L3 we can derive that b]<4 [a. Obviously,they are inconsistent.

 

One more formal definition of inconsistent relation in hypergraph would be: If there are two nodes (a,b) in hypergraph, and from the synchronization links we can derive two contradictory relations between a and b,then we can say some inconsistency arises in the temporal relations in this hypergraph.

 

How will this be related with the propagation in our algorithm? Since if inconsistency exists, there must be some pair of nodes having contradictory relations. So about this pair of nodes,when we are propagating change caused by one relation, the change will be propagated back to the original nodes.So

propagation circle will exist. Also here we need to futher think about the relation between inconsistency and propagation circle. Are they equal? inconsistency will cause propagation cycle. Does propagation circle definitely mean inconsistency? If so,we can detect inconsistency by detecting propagation circle in our algorithm. if not, we still need to make the algorithm be able to detect propagation circle because it is possible for propagation circle to cause inconsistency. Revealing this circle to user will enable user to check it.